
超可靠低时延通信(Ultra-Reliable Low-Latency Communications, URLLC)是5G及未来6G无线通信系统的重要组成部分,与智慧工厂、车联网、无人机、智能家居以及远程医疗等新兴任务关键型应用息息相关。针对该类通信场景,如何从MIMO传输的角度实现时延和可靠性的最佳折中,是近年来备受关注的一项研究课题。由于现有基于长包假设的经典MIMO传输体系难以满足系统对于时延和可靠性的严苛要求,亟需研究更具挑战性的有限块长MIMO传输理论和技术。
本文工作
针对上述问题,本文从物理层角度出发,围绕有限块长MIMO信息论、发射机以及接收机设计的已有研究工作进行全面总结,并重点介绍二维空时信道编码以及MIMO一体化接收机等新型技术,为显著提升超可靠低时延通信的性能提供指导。另外,本文简要介绍了作者所在课题组搭建的MIMO超可靠超低时延试验验证平台,为后续相关理论与算法的验证奠定试验基础。
实验结果
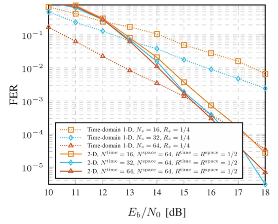
在信道编码设计方面,本文作者在时域编码的基础上引入了空间域编码,提出一种新型空时二维信道编码方案,其基带发射系统框图如图1所示。该方案既能满足URLLC对时延和可靠性的要求,又具有很强的灵活性,适用于各种场景。仿真结果如图2所示,对于64×128的MIMO系统以及时域编码长度为16,在解码错误概率为10-3时,所提出的时空二维信道编码方案相对于传统一维时域信道编码可获得3dB以上的性能增益。


在接收机设计方面,本文作者提出了一种新型的基于交替方向乘子法(Alternating Direction Method of Multipliers, ADMM)的一体化MIMO接收机,将编码MIMO系统的接收机设计构建为基于最大似然准则的联合检测与译码问题。仿真结果如图3所示,在正交相移键控(Quadrature Phase Shift Keying, QPSK)调制下,基于ADMM的一体化接收机能够得到明显超过两种Turbo接收机(MAP/MMSE-ICDD)的性能;而在正交幅度调制16QAM(Quadrature Amplitude Modulation, QAM)调制下,当最大迭代次数增加到500次时,也能达到逼近基于MAP-Turbo接收机的性能,且具有显著的复杂度优势。由于在检测过程兼顾了码字校验式约束,因此能够一定程度上避免错误传播,针对信道误差表现出更强的鲁棒性。


在试验平台搭建方面,本文作者所在课题组目前已初步完成MIMO URLLC无线传输试验验证平台搭建与测试工作,所搭建平台如图4所示。本平台采用正交频分复用(Orthogonal Frequency Division Multiplexing, OFDM)传输方式,子载波间隔120KHz,一个时隙为0.125ms。每个时隙包含14个符号,且采用6Down+2GP+6Up的结构。中心频率为3.5GHz(n78频段),采样率为122.88MHz。共使用100M带宽,对应于69个资源块,每块中包含12个子载波,FFT点数等于1024。经初步系统测试,目前该试验平台无线传输可靠性达到99.99962%,平均时延为398微秒。

研究团队
沈弘, 朱鹏程, 刘平川, 孙羿, 李至诚, 张睿, 许威, 尤肖虎:东南大学移动通信国家重点实验室
朱鹏程, 许威, 尤肖虎:紫金山实验室
文章下载
沈弘, 朱鹏程, 刘平川, 等. 面向超可靠低时延通信的有限块长MIMO传输理论与技术. 中国科学: 信息科学, 2024, doi: 10.1360/SSI-2023-0324

版权声明:本文内容转自互联网,本文观点仅代表作者本人。本站仅提供信息存储空间服务,所有权归原作者所有。如发现本站有涉嫌抄袭侵权/违法违规的内容, 请发送邮件至1393616908@qq.com 举报,一经查实,本站将立刻删除。