风噪,专业名称为空气动力噪声,是由流场中运动的物体与物体之间的作用产生,或者是由流体自身的湍流运动导致的流体之间的相互作用产生。在多种实际应用场景中都可能遇到风噪的问题,常见的比如助听器、蓝牙耳机等等。
风噪作为一种特殊的噪声,其噪声频谱使用常规的噪声估计算法很难跟踪,今天我们介绍几种风噪抑制方案。
风噪抑制硬件方案
工欲善其事,必先利其器。抑制风噪可以首先从硬件方面入手。最常使用的就是防风罩,防风罩的原理主要是通过物理结构和材料特性来减少空气流动对麦克风的直接冲击,从而降低风噪。防风罩的工作原理大致可以分为以下几点:
- 减缓气流速度,防风罩通常采用密度较高的材料(如泡沫或毛绒),这些材料能够减缓空气流动的速度。当风吹到防风罩上时,气流被材料阻挡和分散,速度大大减慢,从而减少风对麦克风振膜的直接冲击。
- 分散气流,防风罩的材料结构能够分散气流,使其在进入麦克风前被分成许多小的、较缓慢的气流。这样,原本强烈的风力被削弱,减少了风噪的产生。
- 吸收和反射声波,防风罩的材料可以吸收和反射一部分声波,尤其是低频的风噪声。泡沫和毛绒材料能够在一定程度上吸收声波的能量,减少其对麦克风的影响。
- 物理隔离,防风罩作为麦克风和外界环境之间的一道屏障,能够物理性地隔离部分风噪。特别是毛绒防风罩,其长长的毛绒能够形成多层结构,有效地阻挡和缓冲风的冲击。
风噪抑制信号处理方案
基于频谱质心的风噪抑制方案
风噪抑制可以视为噪声消除算法的一种,常用的噪声抑制算法基于噪声平稳或准平稳假设之上,无法很好的抑制风噪声。因此,对于风噪的抑制与其他噪声抑制算法有所不同,一般风噪抑制算法流程如下所示。

可以发现与正常的噪声抑制算法多了一个风噪检测模块,检测风噪声的发生是为了调整重建语音的范围,其目的是确定实际帧中受到干扰的频率范围。风噪的特征和语音相比在于低频区域,如下图所示。因此可以通过特定统计方式进行风噪检测。

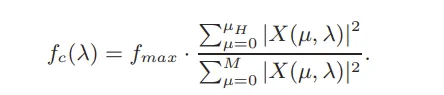
比如我们可以用低频频段与全频段的比值作为风噪是否存在的判别因子:

当然判别风噪是否存在还有其他方法比如计算子带的质心(sub-band centroids, SSC)或者依赖于风噪声频谱的幅度可以大致近似为随频率线性衰减这个假设使用负斜率拟合(negative slope fit, NSF)来进行风噪判别。对于风噪的检测,为了防止数据波动引起的误差一般都会在时间维度进行平滑处理。
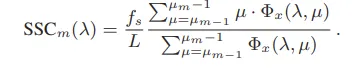
在检测到风噪时我们就可以使用对应的噪声估计算法来跟踪风噪的功率谱密度。因为风噪是非稳态的噪声,常用的噪声估计算法是基于SSC的方案,第m个子带的质心计算公式为:

由于SSC指的是频谱中的一个位置,于是可以将其视为一个频率。一般只考虑一个0~3000Hz频率范围的SSC,对于采样率16kHz,512点FFT,SSC的[0, 3000Hz]的SSC系数(记为SSC1),如下图所示。

此时噪声的PSD可以表示为

其中

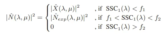
在稳态噪声估计算法中平滑因子α(λ)一般是一个定值,但是风噪噪声估计算法的性能受平滑因子影响较大,一方面,小的平滑因子允许快速跟踪风噪声。这有一个缺点,即被错误检测为风噪声的语音段会对估计的噪声功率谱密度产生很大影响。另一方面,大的平滑因子可以减少语音活动期间错误检测的影响。然而,这会导致噪声估计的适应速度变慢。因此其也是一个动态调整的变量,即

这种平滑因子α(λ)与SSC0(λ)值之间的关系在语音缺失期间(SSC0(λ) ≈ f1)导致快速跟踪和精确的噪声估计,并在语音活动期间减少将语音错误估计为风噪声的风险(SSC0(λ) ≈ f2)。频率f1和f2分别是纯风噪声和纯语音的SSC1值。
基于带宽扩展的风噪抑制方案
除了使用传统的降噪算法进行风噪抑制之外,还可以通过带宽扩展的方式进行风噪抑制,前面提到风噪主要集中在低频区域,因此可以将语音的带宽向低频扩展用于替换被高度干扰的低频部分,整体流程框架如下所示

类似于面对疾风吧!风噪产生的原理及建模分析里面介绍的风噪生成模型,这里的语音生成模型如下所示,其中N0是表示基因周期,gS表示激励信号的幅度,人类声道的模型通常被近似为全极点滤波器,因此使用LPC对声管滤波器进行建模,其系数为M阶。

在估计出对应的语音合成器的系数之后就可以对带风噪声音进行降噪,原始信号经过上述系统处理后的结果如下图所示,由于生成信号会经过低通滤波因此不会影响到正常语音信号频谱范围。

风噪抑制深度学习方案
风噪属于非平稳噪声,深度学习的非线性建模能力可以较好的处理这种类型的噪声,基于深度学习的方案主要是通过重建低频区域的信号。基于深度学习的风噪抑制方案与普通深度学习降噪方案差别不大,这里就不再赘述。

参考文献:
[1]. https://www.eurasip.org/Proceedings/Eusipco/Eusipco2012/Conference/papers/1569581163.pdf
[2]. https://web.pdx.edu/~arhodes/windnoise.pdf
[3]. http://137.226.119.45/pdfs/nelke14.pdf
作者:Ryuk
来源:语音算法组
原文:https://mp.weixin.qq.com/s/4F9np4mAHXxkq42lUPcKCg
版权声明:本文内容转自互联网,本文观点仅代表作者本人。本站仅提供信息存储空间服务,所有权归原作者所有。如发现本站有涉嫌抄袭侵权/违法违规的内容, 请发送邮件至1393616908@qq.com 举报,一经查实,本站将立刻删除。