近日,快手与清华大学孙立峰团队联合发表论文《Towards User-level QoE: Large-scale Practice in Personalized Optimization of Adaptive Video Streaming》,被计算机网络领域的国际顶尖学术会议ACM SIGCOMM 2025录用。该论文提出了一种创新的视频流优化系统——灵犀系统,这是业界首个成功部署在大规模生产环境中、面向用户个性化体验的自适应视频流优化系统。

论文地址:https://dl.acm.org/doi/10.1145/3718958.3750526
ACM SIGCOMM 是全球计算机网络领域历史最悠久、声望最高的旗舰学术会议之一。该会议对论文的质量和创新性有着极为严苛的标准,每年录用率极低。入选 SIGCOMM 的论文通常代表了网络研究的最新突破和未来方向,不仅要求研究工作具有坚实的理论基础和系统性的实践验证,更强调其对学术界和工业界的深远影响。历史上,从奠定互联网基石的 TCP/IP 协议到引领网络变革的软件定义网络(SDN)等诸多里程碑式的技术,都曾在 SIGCOMM 上首次亮相,深刻推动了全球网络技术的发展与演进。
视频流体验的个性化优化在学术界与工业界已进行诸多探索。然而,现有的方法在真实的大规模生产环境部署中,常常面临着一些根本性制约,如显式用户评分干扰用户体验、控制带宽进行播放干预导致体验受损、优化不连续以及难以规模化等。灵犀(LingXi)系统的设计初衷便是为了系统性地攻克这些难题,实现一个真正可部署、可持续、无打扰的个性化 QoE 优化框架。如下表 1 清晰地展示了灵犀系统与既往方法的核心区别:

一、背景:从传统 QoS 到个性化 QoE 的转变
1. 系统级 QoS 优化的性能瓶颈
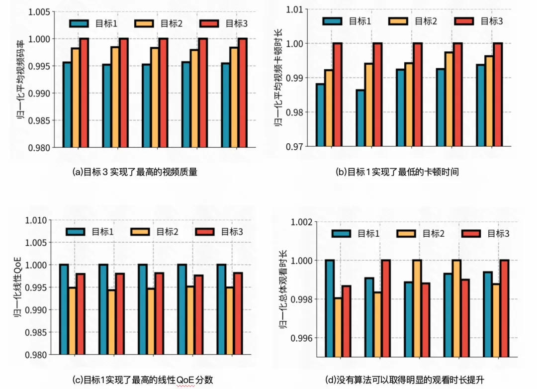
为了验证传统 QoS 优化方法的局限性,我们进行了一项为期数天的大规模线上 A/B 测试。实验组采用两种不同的 QoS 优化倾向:Alg2(基线)、Alg3(优先保障视频质量)、Alg1(优先降低卡顿)。如图 1 所示,尽管各算法在具体 QoS 指标(图 1-a;1-b)和线性 QoE 模型(图 1-c)上表现出差异,但在最核心的真实用户体验指标 —— 总观看时长(图 1-d)上,没有任何算法表现出持续且具有统计显著性的优势。这一结果证明,在现代视频流系统中,仅提升系统级的 QoS 指标已难以直接转化为真实用户体验的改善,传统的优化路径已趋于饱和。

2. 识别关键QoE影响因子:聚焦“卡顿”
为了寻找新的优化突破口,我们必须理解不同QoS指标对用户行为的真实影响。我们以“用户退出率”作为衡量QoE的细粒度指标,分析了上百万条真实播放轨迹。


如图2所示,我们发现不同QoS指标对退出率的影响存在显著的量级差异:
- 视频质量 (图2-a):影响量级在 10⁻³。
- 视频平滑度 (图2-b)(码率切换):影响量级在 10⁻²。
- 卡顿时长 (图2-c):影响量级在 10⁻¹,是前两者的10倍乃至100倍。
结论 1:在所有QoS指标中,卡顿事件是影响用户体验的最主要负向因素。由于其影响的权重远超其他因素,且用户行为本身存在大量与QoS无关的噪声,因此,对影响较小的指标进行个性化建模极易被噪声淹没。一个有效的个性化QoE优化系统,必须将建模的重心放在用户对卡顿的响应上。
3. 验证个性化优化空间:用户感知的“千人千面”
在确定卡顿为核心优化目标后,我们进一步探究了用户对卡顿的感知是否存在个体差异。

如图3(a)所示,用户平均可容忍卡顿时长的累积分布函数表明,用户间的卡顿容忍度差异巨大,并且具有一定稳定性。同时,图3(b)展示了不同用户的真实反应曲线,清晰地呈现出三种模式:敏感型(卡顿轻微增加,退出率即飙升)、阈值敏感型和不敏感型。
结论 2:用户对卡顿的感知和容忍度存在显著的、稳定的个体差异性与时间动态性。这为实现用户级的个性化QoE优化提供了坚实的理论基础和巨大的优化空间。
二、算法设计:灵犀系统的三大核心组件
基于以上洞察,我们设计了灵犀系统。它并非一个全新的ABR算法,而是一个可以与任何现有ABR算法兼容的动态优化目标调整模块。灵犀系统的模块化架构使其能够便捷地集成到现有传输系统中,不对播放过程进行干预保证了生产环境安全,基于用户自然观看行为无需显式反馈避免打扰用户体验,同时通过实时追踪用户偏好变化实现持续的个性化优化。灵犀系统的结构设计如图4所示。

其核心架构由三个协同工作的组件构成:
1. 在线贝叶斯优化 (Online Bayesian Optimization, OBO):参数的动态探索者
由于用户QoE与ABR参数之间的函数关系是未知的“黑盒”,并且用户偏好会随时间动态变化。基于这一背景,我们需要一个样本效率高、能处理黑盒问题并适应动态环境的算法,即在线贝叶斯优化 (Online Bayesian Optimization, OBO)。灵犀系统会为每个用户独立运行OBO过程,利用历史“参数-体验反馈”数据点,构建高斯过程代理模型来拟合未知的目标函数。通过最大化采集函数(Acquisition Function),OBO能够智能地在“探索”(尝试不确定性高的参数)和“利用”(选择当前最优的参数)之间进行权衡,为每个用户持续迭代寻找当前最优的ABR参数(如卡顿惩罚因子)。
2. 蒙特卡洛采样 (Monte Carlo Sampling):决策的未来模拟器
当OBO给出一个候选参数后,灵犀系统会启动蒙特卡洛模拟。它基于用户历史网络状况建立带宽模型,并从当前播放器状态开始,进行多次独立的虚拟播放。在每次模拟中,系统都使用该候选参数驱动ABR进行决策,并利用退出率预测器计算每个segment的退出概率。最终,通过汇总所有模拟轨迹的平均退出率,来评估该候选参数的长期影响,从而实现对短期和长期QoE的对齐。
3. 混合退出率预测器 (Hybrid Exit Rate Predictor):体验的精准量化器

卡顿是影响QoE的主导因素,且其与其他QoS指标(如画质、观看时长)的交互效应复杂且非线性。因此,我们设计了一个混合模型来捕捉这种复杂性,既保证对核心痛点(卡顿)进行个性化精准建模,还有效避免了在低影响因素上的个性化建模所可能引入的噪声,从而实现了模型性能与鲁棒性的平衡。
- 个性化神经网络:专门用于预测发生卡顿时用户的退出率。该网络(如图5所示)输入包括短期播放状态(码率、吞吐量、卡顿时长序列)和长期用户状态(历史卡顿间隔、历史卡顿-退出间隔),能够捕捉复杂的非线性关系和用户个体特征。
- 整体统计模型:对于未发生卡顿的场景,由视频质量、平滑度等影响较小的因素主导,我们使用从全体用户日志中得到的统计模型进行预测。
三、实验效果:大规模A/B测试的有力证明
我们在快手平台上进行了为期10天的大规模A/B测试,将灵犀系统与生产环境中经过高度优化的基线ABR算法进行对比。
1. 整体QoE与QoS双重提升

实验结果显示,灵犀系统在总观看时长(QoE)、平均视频码率(QoS)、总卡顿时长(QoS)方向上均取得了全面且显著的性能提升。这证明灵犀系统在优化用户主观体验的同时,也协同改善了客观服务质量指标。
2. 低带宽长尾用户的显著收益
灵犀系统更大的价值体现在对播放体验更敏感的低带宽用户上。

如图7所示:
- 参数自适应:在低带宽(<2000 kbps)区域,卡顿风险高,灵犀自动为用户分配了更保守的ABR参数;在高带宽区域,则采用更激进的参数以追求更高画质。
- 卡顿优化效果:在带宽低于2000 kbps的场景下,灵犀系统使卡顿时长减少了约15%,极大地改善了弱网用户的观看体验。
3. 个性化优化的直接验证
为了验证灵犀系统在“因人而异”优化方面的效果,我们分析了用户的卡顿敏感度与其对应参数之间的关系。

如图8所示,用户的卡顿退出率(衡量其对卡顿的敏感度)与系统为其分配的ABR参数之间存在明显的负相关关系。即对卡顿越敏感(退出率越高)的用户,系统分配的参数越保守,反之亦然。
四、总结
灵犀(LingXi)系统的成功实践,标志着自适应视频流优化范式的一次关键演进,即从以往追求单一、静态的系统级优化目标,转向了为成千上万个动态、独立的个性化用户目标提供量身定制的策略,实现了真正的“千人千面”。该系统通过混合预测器、蒙特卡洛模拟与在线贝叶斯优化架构,精准量化并持续适应每个用户的独特体验偏好。在覆盖数千万用户的生产环境验证中,这一用户级优化范式不仅带来了整体QoE与QoS的双重提升,更关键的是,它为长期困扰行业的弱网用户带来了高达15%的卡顿减少,并直观地展现了为不同敏感度用户匹配差异化策略的能力。综上,灵犀系统为大规模、用户级的个性化QoE优化提供了突破当前行业瓶颈的关键路径。
版权声明:本文内容转自互联网,本文观点仅代表作者本人。本站仅提供信息存储空间服务,所有权归原作者所有。如发现本站有涉嫌抄袭侵权/违法违规的内容, 请发送邮件至1393616908@qq.com 举报,一经查实,本站将立刻删除。