最近要求为图像设计流线型曲线边框,想着可以用 OpenGL 绘制贝塞尔曲线,再加上模板测试来实现,趁机尝试一波。

什么是贝塞尔曲线

贝塞尔曲线于 1962 年,由法国工程师皮埃尔·贝济埃(Pierre Bézier)所广泛发表,他运用贝塞尔曲线来为汽车的主体进行设计,可以设计出曲线形车身。
贝塞尔曲线主要用于二维图形应用程序中的数学曲线,曲线主要由起始点,终止点和控制点组成,通过调整控制点,绘制的贝塞尔曲线形状则会随之发生变化。
贝塞尔曲线现在已广泛用于计算机图形,动画,字体等,基本上每个现代图形编辑器都支持它。
在一些博客中比较常见的一阶、二阶和三阶贝塞尔曲线( 公式中 t∈[0,1]):
一阶贝塞尔曲线


二阶贝塞尔曲线


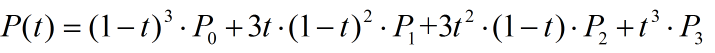
三阶贝塞尔曲线


通过上述公式,我们设置好起始点,终止点和控制点,贝塞尔曲线就是由 t∈[0,1] 区间对应的无数个点组成。
当然我们实际在设备上绘制时,不可能绘制出无数个点,一般是根据屏幕像素的大小,对 t∈[0,1] 区间进行适当的等间隔插值,再由输出的点组成我们要的贝塞尔曲线(此时肉眼分辨不出来两点之间的距离,可以认为它们连成了一条线)。
Android Canvas 绘制贝塞尔曲线
Android 自定义 View 时,我们知道 Canvas 类有专门的 API 可以很方便地绘制贝塞尔曲线,但是通常性能较差,更不方便与图像一起处理,因为本文的目的是利用贝塞尔曲线处理图像。
path.reset();
path.moveTo(p0x, p0y);//设置起点
path.quadTo(p1x, p1y, p2x, p2y);//设置控制点
path.moveTo(p0x, p0y);//设置终止点
path.close();
canvas.drawPath(path, paint);
OpenGL ES 绘制贝塞尔曲线
OpenGL ES 的基本绘制单位是点、线和三角形,既然可以绘制点,只需要基于上述公式计算出点,然后将其绘制出来,即可得到我们想要的贝塞尔曲线。
以绘制三阶贝塞尔曲线为例,用 GLSL 实现该函数,然后我们从外部输入一组 t 的取值数组,便可以得出一组对应的用于绘制三阶贝塞尔曲线的点。
vec2 bezier_3order(in vec2 p0, in vec2 p1, in vec2 p2, in vec2 p3, in float t){
float tt = (1.0 - t) * (1.0 -t);
return tt * (1.0 -t) *p0 + 3.0 * t * tt * p1 + 3.0 * t *t *(1.0 -t) *p2 + t *t *t *p3;
}
借助于 GLSL 的内置混合函数 mix ,我们可以在用于绘制贝塞尔曲线的点之间进行插值,相当于对上述函数 bezier_3order 进行优化:
vec2 bezier_3order_mix(in vec2 p0, in vec2 p1, in vec2 p2, in vec2 p3, in float t)
{
vec2 q0 = mix(p0, p1, t);
vec2 q1 = mix(p1, p2, t);
vec2 q2 = mix(p2, p3, t);
vec2 r0 = mix(q0, q1, t);
vec2 r1 = mix(q1, q2, t);
return mix(r0, r1, t);
}
获取 t 的取值数组,实际上就是对 t∈[0,1] 区间进行等间隔取值:
#define POINTS_NUM 256 //取 256 个点
#define POINTS_PRE_TRIANGLES 3
int tDataSize = POINTS_NUM * POINTS_PRE_TRIANGLES;
float *p_tData = new float[tDataSize];
for (int i = 0; i < tDataSize; i += POINTS_PRE_TRIANGLES) {
float t0 = (float) i / tDataSize;
float t1 = (float) (i + 1) / tDataSize;
float t2 = (float) (i + 2) / tDataSize;
p_tData[i] = t0;
p_tData[i + 1] = t1;
p_tData[i + 2] = t2;
}
完整的着色器脚本:
//顶点着色器
#version 300 es
layout(location = 0) in float a_tData;//t 取值数组
uniform vec4 u_StartEndData;//起始点和终止点
uniform vec4 u_ControlData;//控制点
uniform mat4 u_MVPMatrix;
uniform float u_Offset;//y轴方向做一个动态偏移
vec2 bezier_3order_mix(in vec2 p0, in vec2 p1, in vec2 p2, in vec2 p3, in float t)
{
vec2 q0 = mix(p0, p1, t);
vec2 q1 = mix(p1, p2, t);
vec2 q2 = mix(p2, p3, t);
vec2 r0 = mix(q0, q1, t);
vec2 r1 = mix(q1, q2, t);
return mix(r0, r1, t);
}
void main() {
vec4 pos;
pos.w = 1.0;
vec2 p0 = u_StartEndData.xy;
vec2 p3 = u_StartEndData.zw;
vec2 p1 = u_ControlData.xy;
vec2 p2 = u_ControlData.zw;
p0.y *= u_Offset;
p1.y *= u_Offset;
p2.y *= u_Offset;
p3.y *= u_Offset;
float t = a_tData;
vec2 point = fun2(p0, p1, p2, p3, t);
if (t < 0.0) //用于绘制三角形的时候起作用,类似于绘制扇形
{
pos.xy = vec2(0.0, 0.0);
}
else
{
pos.xy = point;
}
gl_PointSize = 4.0f;//设置点的大小
gl_Position = u_MVPMatrix * pos;
}
//片段着色器
#version 300 es
precision mediump float;
layout(location = 0) out vec4 outColor;
uniform vec4 u_Color;//设置绘制三角形或者点的颜色
void main()
{
outColor = u_Color;
}
绘制贝塞尔曲线:
GLUtils::setMat4(m_ProgramObj, "u_MVPMatrix", m_MVPMatrix);
GLUtils::setVec4(m_ProgramObj, "u_StartEndData", glm::vec4(-1, 0,
1, 0));
GLUtils::setVec4(m_ProgramObj, "u_ControlData", glm::vec4(-0.04f, 0.99f,
0.0f, 0.99f));
GLUtils::setVec4(m_ProgramObj, "u_Color", glm::vec4(1.0f, 0.3f, 0.0f, 1.0f));
float offset = (m_FrameIndex % 100) * 1.0f / 100;
offset = (m_FrameIndex / 100) % 2 == 1 ? (1 - offset) : offset;
GLUtils::setFloat(m_ProgramObj, "u_Offset", offset);
glDrawArrays(GL_POINTS, 0, POINTS_NUM * TRIANGLES_PER_POINT);
//旋转 180 度后再绘制一条
UpdateMVPMatrix(m_MVPMatrix, 180, m_AngleY, (float) screenW / screenH);
GLUtils::setMat4(m_ProgramObj, "u_MVPMatrix", m_MVPMatrix);
glDrawArrays(GL_POINTS, 0, POINTS_NUM * TRIANGLES_PER_POINT);
绘制的贝塞尔曲线:

接下来我们基于贝塞尔曲线去绘制曲边扇形(填充曲线与 x 轴之间的区域),则需要 OpenGL 绘制三角形实现,还要重新输入 t 的取值数组,使得每输出 3 个点包含一个原点,类似于绘制扇形。
//绘制三角形,要重新输入 t 的取值数组,使得每输出 3 个点包含一个原点,前面着色器中 t<0 时输出原点。
int tDataSize = POINTS_NUM * POINTS_PRE_TRIANGLES;
float *p_tData = new float[tDataSize];
for (int i = 0; i < tDataSize; i += POINTS_PRE_TRIANGLES) {
float t = (float) i / tDataSize;
float t1 = (float) (i + 3) / tDataSize;
p_tData[i] = t;
p_tData[i + 1] = t1;
p_tData[i + 2] = -1;
}
绘制曲边扇形只需要改变绘制模式,GL_POINTS 改为 GL_TRIANGLES 。
glDrawArrays(GL_TRIANGLES, 0, POINTS_NUM * POINTS_PRE_TRIANGLES);
当绘制多个曲边扇形相互叠加时,可以通过混合去产生新的颜色(参看本文的第一幅图),防止最先绘制的曲边扇形被覆盖,了解 OpenGLES 混合可以参考旧文Android OpenGL ES 3.0 开发(十二):混合。
glEnable(GL_BLEND);
glBlendFuncSeparate(GL_ONE, GL_ONE_MINUS_SRC_COLOR, GL_ONE, GL_ONE_MINUS_SRC_ALPHA); // Screen blend mode
glBlendEquationSeparate(GL_FUNC_ADD, GL_FUNC_ADD);
实现代码路径见阅读原文。
参考
Sound Visualization on Android: Drawing a Cubic Bezier with OpenGL ES
本文来自作者投稿,版权归原作者所有。如需转载,请注明出处:https://www.nxrte.com/jishu/17896.html