
研究意义
5G移动通信系统中,LDPC码作为主要信道编码方案之一实现了较高的可靠度和吞吐率。近年来,诸多新兴的通信场景对可靠度提出了更高要求。车联网、无人机通信、增强/虚拟现实等新兴的场景对误块率要求提高到了1E-5以下。同时,这些通信系统往往也要求较高的数据速率和较低的时延,形成了一类宽带高可靠的通信场景。现有5G通信系统采用LDPC码和高阶QAM调制来实现eMBB场景下的宽带高可靠传输。但现有的编码调制方案主要考量单次传输误块率约为1E-2的最佳性能,更高的可靠度采用混合重传来保证。对于上述新兴场景,重传难以满足时延要求,因此单次传输需要具备更高的可靠度,而LDPC码普遍具有的误码平层限制了5G编码调制方案在这些场景下的应用。
本文工作
为了解决上述问题,本文提出了一种易于实现的5G编码调制增强方案。该方案在5G采用的交织器后增加一个比特映射模块,通过离线优化的比特映射图样来提升5G LDPC编码调制系统单次传输的可靠度。在16-QAM,64-QAM,256-QAM三种调制模式下,本文提出的方案都能在保证瀑布区性能衰退小于0.3 dB的前提下,将平层区误块率降低100~1000倍。
本文的创新点如下:(1)考虑了交织方案对LDPC编码调制系统误码平层的影响,仿真和分析了5G交织方案中主导误码平层的特殊陷阱集图样。(2)提出新增一个比特映射模块,对映射到一个2m-QAM符号的m比特进行交织。对于16-QAM~256-QAM,该模块仅通过增加4~8比特的简易交织实现平层区可靠度百倍的提升。(3)提出了一种全新的交织器设计思路,将LDPC码的误码平层和译码门限同时考虑进交织器设计中。

本文主要思路
实验结果
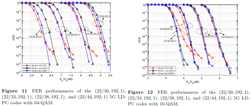
本文所提出的比特交织方案在多核服务器定点仿真中验证。我们选用5G BG1 LDPC码, 16-QAM,64-QAM,256-QAM三种高阶调制方案,6-bit量化的min-sum迭代译码算法。首先,Figure 5(原文编号)中,我们通过高度并行的仿真器验证了5G交织方案相比不交织产生了大量的小重量错误图样。Figure 10, 11, 12分别展示了256-QAM, 64-QAM, 16-QAM下本文所提的比特映射方案(LFBM)的效果。图中现有5G方案标注为红色圆圈曲线,本文提出的方案标注为蓝色方块曲线。仿真结果表明,对于多种调制方案、多种5G LDPC编码,本文所提的方案都能在瀑布区性能衰退可控(< 0.3 dB)的前提下,将误码平层(FER曲线拐点)从1E-5~1E-6降低到约1E-7~1E-8,实现可靠度百倍提升。


全文下载:
http://engine.scichina.com/doi/10.1007/s11432-022-3670-5
作者:Zhu M Y, Jiang M, Zhao C M, et al. A low-floor bit-mapping scheme for LDPC coded BICM for 5G and beyond systems. Sci China Inf Sci, 2023, doi: 10.1007/s11432-022-3670-5
版权声明:本文内容转自互联网,本文观点仅代表作者本人。本站仅提供信息存储空间服务,所有权归原作者所有。如发现本站有涉嫌抄袭侵权/违法违规的内容, 请发送邮件至1393616908@qq.com 举报,一经查实,本站将立刻删除。