这篇文章首先梳理了图片压缩格式的发展历程,并从中挑选了当前主流图片格式展开介绍,主要介绍不同格式的压缩方式及压缩性能对比,以期大家对不同的图片格式能有更清晰的了解,结合需求选择更适合自己的图片压缩的格式。
前提背景
随着终端设备的发展,高清及超高清图片的生产愈发便捷,图片上传、传输、下载的带宽成本也随之增长,常见的图片压缩方式PNG、JPEG等也可以进行一定程度的压缩,但是压缩率还是不能满足日益增长的图片文件的大小,因此新的图片压缩格式不断被提出,例如HEIC、WebP、AVIF,这些新的压缩方式可以保持和JPEG、PNG等格式相同的画质前提下做到更大的体积压缩。
图片发展历程
从上图可以看出JPEG及PNG都是提出比较久的压缩格式,WebP、HEIF及AVIF是提出的时间不久新兴图片格式,但以其出色的压缩率已经在逐步替代JPEG、PNG等图片格式在各终端设备及浏览器的地位。下面将逐步介绍几种不同格式图片的压缩方式和主要特性。
图片格式简介
PNG简介
便携式网络图形(Portable Network Graphics,PNG)是一种无损压缩的位图图形格式,支持索引、灰度、RGB三种颜色方案以及Alpha通道等特性。
PNG定义了两种类型的数据块,一种是称为关键数据块(critical chunk),这是标准的数据块,另一种叫做辅助数据块(ancillary chunks),这是可选的数据块。关键数据块定义了4个标准数据块,每个PNG文件都必须包含它们,PNG读写软件也都必须要支持这些数据块。
这里介绍一下标准数据块中IHDR作用:文件头数据块IHDR(header chunk),它包含有PNG文件中存储的图像数据的基本信息,并要作为第一个数据块出现在PNG数据流中,而且一个PNG数据流中只能有一个文件头数据块。文件头数据块由13字节组成:

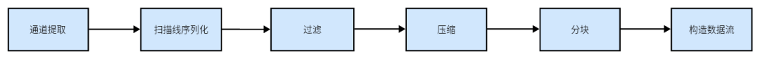
压缩流程
PNG的压缩过程是完全无损的;这意味着压缩文件可以准确地重建源图像。PNG的压缩流程主要包括:
通道提取可以把一张大图分解为若干小图
过滤
PNG格式使用称为“filtering”的delta编码格式。基本上,对于每一个像素扫描线,当前像素都是按照与左边像素、上面像素和上面左侧像素的某种关系进行编码的。

假设有一图片块如上图,现需要使用过滤器预测”X”这个未知值。PNG允许选择五种模式中的一种,每行:
- 不使用filtering
- X和A的差
- X和B的差值
- X与(A + B)/2的差值(即平均值)
- Paeth预测器(A,B,C的线性函数)
每一行都可以为自己选择最好的filtering方法,这样就可以产生最少的唯一符号(重复符号越多,压缩效果越好)。这些过滤器是按通道而不是按像素设置的。这意味着该过滤器应用于扫描线的一个像素的所有红色值,然后单独应用于扫描线的所有蓝色值。
压缩
一旦在扫描线上进行了滤波,它将传递给LZ77算法的变种,称为DEFLATE;该算法结合了LZ77编码和一个霍夫曼编码器。
JPEG简介
JPEG 是 Joint Photographic Experts Group 的缩写,即 ISO 和 IEC 联合图像专家组,负责静态图像压缩标准的制定,这个专家组开发的算法就被称为 JPEG 算法,并且已经成为了大家通用的标准,即 JPEG 标准。JPEG 压缩为有损压缩。
压缩流程

JPEG压缩模块中产生画质损失的步骤在进行YUV采样、量化过程。YUV采样是基于人眼对色度的敏感度低于对亮度的敏感度,将YUV444的像素格式采样为YUV420的采样格式,可节省了50%的文件体积。量化是编码过程中有损过程,量化步长越大,图片体积越小,图片画质越差。可以通过不同的量化矩阵选择控制不同的图片压缩质量。
WEBP简介
WebP(发音:weppy)是一种同时提供了有损压缩与无损压缩(可逆压缩)的图片文件格式。WebP支持的像素最大数量是16383×16383。有损压缩的WebP仅支持8-bit的YUV 4:2:0格式。而无损压缩(可逆压缩)的WebP支持VP8L编码与8-bit之ARGB色彩空间。WebP的有损压缩算法是基于VP8视频格式的帧内编码,并以RIFF作为容器格式。
RIFF:资源交换文件格式(英语:Resource Interchange File Format,缩写为RIFF),又译资源互换文件格式,是一种文件格式(meta-format)标准,把资料存储在被标记的区块(tagged chunks)中。
压缩流程

- 块大小:最大块16×16, 最小4×4
- 预测模式:四种帧内预测模式

- H_PRED(horizontal prediction):使用block左边的一列L来填充block中的每一列
- V_PRED(vertical prediction):使用block上边的一行A来填充block中的每一行
- DC_PRED(DC prediction):使用L和A中所有像素的平均值作为唯一的值填充block
- TM_PRED(TrueMotionprediction):

HEIF简介
High Efficiency Image File Format (HEIF, 发音为:heef),由 Moving Picture Experts Group ( MPEG,即动态图像专家组) 于2013年开发,它基于ISOBMFF标准。HEIF是一个容器的图片格式,它可以包含图片和图片序列(一个文件可以包含不止一个图片)。当前的编码格式有:HEVC 和H.264/MPEG-4 AVC 两种,并且未来可能有新的编码格式加入。.heic 只是一个HEIF文件格式的一种扩展名。.heif 和 .avci,它们都是属于HEIF文件格式。当然,常见的只有 .heif 和 .heic 这两种,而 .avci 很少见。
ISOBMFF标准(=ISO Base Media File Format)
HEIF格式正是基于该标准设计而成,该标准用于:存储基于时间轴或者无时间的媒体数据,其前身是苹果的QuilckTime File Format(.mov)格式。
它的设计理念—-容器结构:
1.定义了盒子结构(box-structured)文件,意味着数据被分配在这些盒子中。
2.允许盒子中包含其他盒子。
3.每个盒子的头部包含着盒子类型的信息,和这个盒子的大小。这样做使之成为可能:读程序可以跳过不必要的信息和不支持的盒子。
4.使用4个ASCII码作为不同的入口,标示盒子的类型。这些4字节通常称为 FourCC or 4CC。
压缩流程
HEIF的压缩流流程和WebP的压缩流程是相似的,不同的是HEIF使用了HEVC的帧内编码技术,具有HEVC帧内编码工具集,达到了更高的压缩率更好的画质。
- 块大小:编码单元尺寸可达64×64,最小块4×4
- 预测模式:35种帧内预测模式
AVIF简介
AV1图像文件格式(AVIF)是由开放媒体联盟(aomedia.org)与Google、Cisco以及 Xiph.org 合作开发的开放、免版权费的图像文件格式规范,用于存储用AV1压缩的HEIF容器格式的图像或图像序列。AVIF支持全分辨率的10位和12位色彩以及HDR,支持有损和无损编码两种方式。
压缩流程
AVIF的压缩流流程和WebP的压缩流程也是相似的,不同的是AVIF使用了AV1的帧内编码技术,具有AV1帧内编码工具集,有更高压缩能力、更佳画面细节。
- 更灵活的编码树划分:编码单元尺寸可达128×128,多达10种块划分方式
- 更精细的帧内预测模式:56种角度模式,intra copy 调色板模式等精确帧内预测模式。
- 更先进的滤波技术:基于方向约束的增强滤波(CDEF),环路复原滤波(restoration)等有效改善了图像质量。
压缩性能对比
这里引用Netflix Technology Blog中“AVIF for Next-Generation Image Coding”一文中对不同图片压缩codec的压缩效果对比,其中参与测试的图片压缩codec如下:

所使用的参考编解码器是JPEG-XT参考软件中的JPEG,客观评测指标为SSIM、MS-SSIM、VIF及PSNR。对比结果如下:




由上表可以看出,在不同的分辨率及不同的测试集上,相同的客观画质情况下,压缩性能的排名为:AVIF>HIEC>WEBP>JPEG。
(以上图片部分来自网络,侵删)
作者:抖音多媒体评测实验室
版权声明:本文内容转自互联网,本文观点仅代表作者本人。本站仅提供信息存储空间服务,所有权归原作者所有。如发现本站有涉嫌抄袭侵权/违法违规的内容, 请发送邮件至1393616908@qq.com 举报,一经查实,本站将立刻删除。