
研究意义
忆阻器是一种新型计算元器件,具有模拟人脑突触特性的能力,被广泛应用于忆阻神经网络以实现类脑信息处理和存储功能。然而,在实际应用中,随机忆阻神经网络的稳定性问题成为制约其进一步发展的重要挑战。寻找合适的控制方法,提升随机干扰下忆阻神经网络的稳定性,降低忆阻神经网络参数切换引起的不稳定性和混沌现象,是关键科学问题。
本文通过提出统一的控制框架,结合PI控制策略和自适应控制策略,实现了随机忆阻神经网络的随机有限时间稳定、随机固定时间稳定和随机预设时间稳定。这一研究的意义在于简化了系统控制过程,提高了控制效率和稳定性,推动了忆阻器技术在人工智能领域的应用,进一步提升计算能力、降低能耗,并扩大存储容量。
本文工作
本文提出了一个统一的控制框架,以实现随机时滞忆阻神经网络的随机有限时间稳定、随机固定时间稳定和随机预设时间稳定。在这个框架中,本文设计了两类PI反馈控制器:普通PI控制器和自适应PI控制器。通过调控控制器参数,本文在统一的控制框架下实现了多种稳定性,无需单独设计有限/固定/预设时间控制器,并获得相应的稳定时间上界。这类控制设计策略使得系统控制更加简洁和高效,并能够适应不同的稳定性需求。
本文的创新点如下:
(1) 本文设计了结合PI控制和有限/固定/预设时间控制的控制器,实现了随机忆阻神经网络的随机有限时间稳定、随机固定时间稳定和随机预设时间稳定。
(2) 为了降低控制的成本,本文在PI控制策略中引入了自适应控制策略,并设计了相应的自适应控制律。
(3) 通过两个数值算例验证理论结果的有效性,证实了自适应PI控制相比没有自适应的PI控制具有更小的控制增益,从而更好地节约了控制成本。
实验结果
在仿真实验中,本文展示了在PI控制器和自适应PI控制器下,随机忆阻神经网络多情况的有限时间稳定性。结果表明,这两类控制器都实现了随机忆阻神经网络的随机有限时间稳定、随机固定时间稳定和随机预设时间稳定。同时,我们观察到自适应PI控制器相比PI控制器在控制成本方面有所节约,而PI控制器的收敛速度较快。

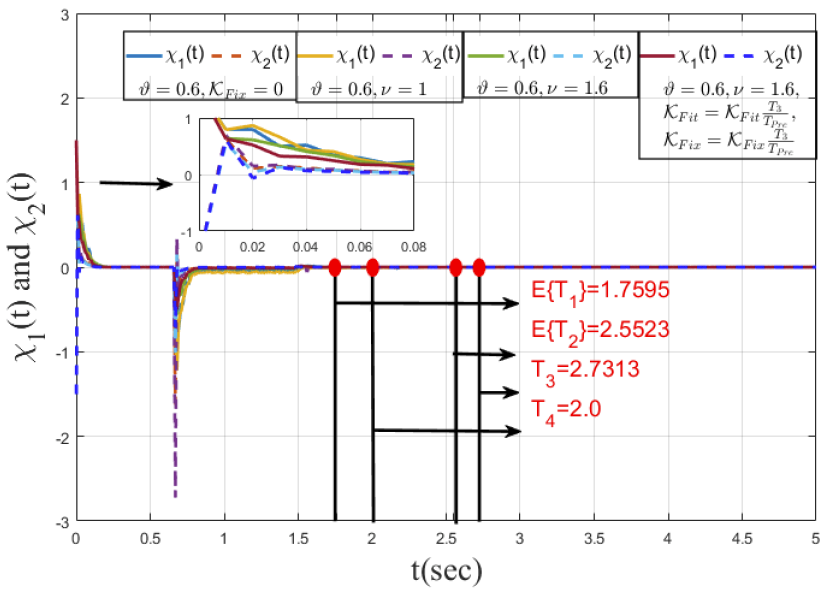
图2展示了随机忆阻神经网络在不同参数下,通过PI控制器实现的随机有限时间稳定、随机固定时间稳定和随机预设时间稳定的状态轨迹。

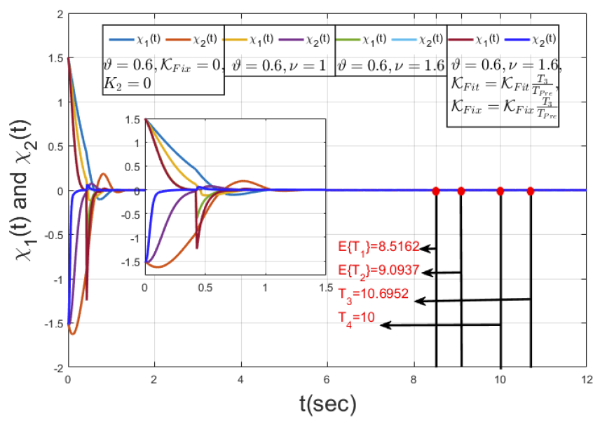
同样地,图4展示了系统在不同参数下,通过自适应PI控制器实现的随机有限时间稳定、随机固定时间稳定和随机预设时间稳定的状态轨迹。此外,表1给出了两个控制器所得的理论结果的稳定时间上界。

综上所述,实验结果表明,无论是使用PI控制器还是自适应PI控制器,都能有效地提升系统的稳定性和可靠性。此外,我们观察到自适应PI控制器在控制成本方面相对节约,而PI控制器的收敛速度更快。因此,在选择控制策略时,需要综合考虑应用需求和具体情况,以权衡控制成本和系统收敛速度。
文章信息
Fei Wei, Guici Chen & Song Zhu. Multi-case finite-time stabilization of stochastic memristor neural network with adaptive PI control. Sci China Inf Sci,doi:10.1007/s11432-022-3790-4
版权声明:本文内容转自互联网,本文观点仅代表作者本人。本站仅提供信息存储空间服务,所有权归原作者所有。如发现本站有涉嫌抄袭侵权/违法违规的内容, 请发送邮件至1393616908@qq.com 举报,一经查实,本站将立刻删除。