2D Matrices 二维矩阵
平移
之前的章节我们学习了如何制作一些图形 – 而如何移动它们的技巧则是借助移动它们自身的参考坐标系。我们只需要给 st 变量加上一个包含每个片段的位置的向量。这样就移动了整个坐标系。

还是画着比较更容易解释,如上图所示:

- 取消下面代码中第35行的注释,看下坐标空间是如何平移的。
现在尝试下下面的练习:
- 结合
u_time和造型函数来移动十字,并试着让它有趣一点。找一个你觉得你感兴趣的某种运动形式,让这个十字也这样运动。记录“真实世界”的一些现象或许对你有所启发 — 可以是波的运动,摆动,弹球,汽车的加速运动,一辆自行车的刹车。
旋转
要移动物体,我们同样需要移动整个空间(坐标)系统。为此我们将使用一个矩阵。矩阵是一个通过行和列定义的一组数。用矩阵乘以一个向量是用一组精确的规则定义的,这样做是为了以一组特定的方式来改变向量的值。

GLSL本身支持2维,3维和4维方阵(mm矩阵):mat2 (2×2), mat3 (3×3) 和 mat4 (4×4)。GLSL同样支持矩阵相乘 (“`)和特殊矩阵函数([matrixCompMult()“`](../glossary/?search=matrixCompMult))。
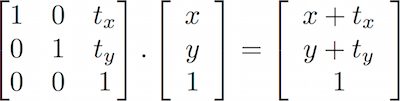
基于矩阵的特性,我们便有可能构造一个矩阵来产生特定的作用。比如我们可以用一个矩阵来平移一个向量:

更有趣的是,我们可以用矩阵来旋转坐标系统:

看下下面构成2维旋转的矩阵的代码。这个函数根据上面的公式,将二维向量绕 vec2(0.0) 点旋转。
mat2 rotate2d(float _angle){
return mat2(cos(_angle),-sin(_angle),
sin(_angle),cos(_angle));
}
根据以往我们画形状的方式,这并不是我们想要的。我们的十字是画在画布中心的,对应于点 vec2(0.5) 。所以,再旋转坐标空间之前,我们需要先把图形移到中心点,坐标 vec2(0.0) ,再旋转坐标空间,最后在移动回原点。

就像下面的代码:

试试下面的练习:
-
取消第45行的代码,看看会发生什么。
-
在37行和39行,将旋转之前的平移注释掉,观察结果。
-
用旋转改进在平移练习中模拟的动画。
缩放
我们看到了如何用矩阵平移和旋转物体。(或者更准确的说,如何通过变换坐标系统来旋转和移动物体。)如果你用过3D建模软件或者 Processing中的 pushmatrix 和 popmatrix 函数,你会知道矩阵也可以被用来缩放物体的大小。

根据上面的公式,我们知道如何构造一个2D缩放矩阵:
mat2 scale(vec2 _scale){
return mat2(_scale.x,0.0,
0.0,_scale.y);
}
试试下面的练习,尝试深入理解矩阵的工作机制:

-
取消上面代码中的第42行来观察空间坐标是如何被缩放的。
-
看看注释掉37和39行,变换之前和之后的缩放,会发生什么。
-
试着结合旋转矩阵和缩放矩阵。注意他们的先后顺序。先乘以一个矩阵,再乘以向量。
-
现在你知道如何画不同的图形,知道如何移动,旋转和缩放它们,是时候用这些来创作了。设计一个fake UI or HUD (heads up display)。参考Ndel在ShaderToy上的例子。

Other uses for matrices: YUV color 矩阵的其他应用:YUV 颜色
YUV 是个用来模拟照片和视频的编码的色彩空间。这个色彩空间考虑人类的感知,减少色度的带宽。
下面的代码展现一种利用GLSL中的矩阵操作来切换颜色模式的有趣可能。

正如你所见,我们用对向量乘以矩阵的方式对待色彩。用这种方式,我们“移动”这些值。
原文链接: https://thebookofshaders.com/08/?lan=ch
版权声明:本文内容转自互联网,本文观点仅代表作者本人。本站仅提供信息存储空间服务,所有权归原作者所有。如发现本站有涉嫌抄袭侵权/违法违规的内容, 请发送邮件至1393616908@qq.com 举报,一经查实,本站将立刻删除。